Last time: global sections functor is left exact. We’ll leave sheaves for now to look at derived categories. What do sheaves have to do with cohomology?
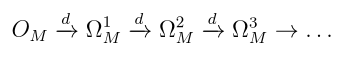
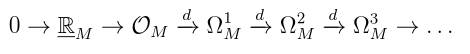
Poincare Lemma: Let M be a manifold. Consider the following complex of sheaves:

where d is the de Rham differential, and consists of smooth functions. This complex is a resolution of the constant sheaf
!
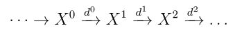
Then apply :

This is a chain complex of real vector spaces. The cohomology of this complex is the de Rham cohomology:

This construction is analogous to the definition/construction of Ext groups! Let X be a k-module, and given another k-module Y take a projective resolution of Y:

Apply Hom(X, -) to this resolution to get a complex

Then let .
Exercise: The k-module doesn’t depend on the choice of resolution.
and
are examples of derived functors.
Category of Complexes
Definition: A complex in an abelian category is a sequence

such that for any i. A homomorphism of complexes is a collection of maps
such that all the squares commute.

Let C(A) be the category of complexes in A. Note the kernel and cokernel are given by and
. For each i, we have a functor
given by
, the ith cohomology of
.
Definition: If , let
be the shifted complex
and
.
Why the sign? We want things to be “graded-commutative”, i.e. if s, t are homogeneous operators, then , |[n]| = n, |d|=1. Whereas
has degree 0
.
Note for abelian category A that by
. This makes A a full subcategory of C(A).
Definition: A homomorphism f of complexes is a quasi-isomorphism if the map f induces on cohomology is an isomorphism.
Definition: A complex is acyclic if it is quasi-isomorphic to 0, i.e. for all i.
Definition: The mapping cone of is the complex C(f) where
and
.

Check that this is a complex.
Exercises:
- C(f) is functorial.
- there is a short exact sequence
- Let K = ker(f), Q = cok(f). Then


- If f is injective (resp. surjective) then
(resp.
) is a quasi-isomorphism.
- If f is an isomorphism, then C(f) is acyclic.
- For any i, the short exact sequence above induces exact
Definition: A map is null-homotopic if there is a map
such that
for each i.

We say f and g are homotopic, and write f~g, if f-g is null-homotopic.
Note if f~0, then and
for any h, g.
Definition: The homotopy category K(A) of an abelian category A is the category with complexes of A for objects, and homotopy classes of complex homomorphisms for morphisms .

2 thoughts on “Algebraic Analysis notes Lecture 10 (1 Feb 2019)”