Last time: for an abelian category A, C(A) is the category of complexes in A. Say are homotopic, f~g, if there are maps
such that
.
Definition The homotopy category K(A) of A is the category with objects complexes of A, and morphisms are homotopy classes of morphisms of complexes. The motivation for this is from algebraic topology, where there is a homotopy category of topological spaces, hTop, where the objects are topological spaces and the morphisms are homotopy classes of continuous maps.
Example Singular cochains gives a functor .
Let . Note that the squares formed by an element of this set do not necessarily have to commute. Then we get a complex
. Let
. Note that for
,
is in the kernel of
iff
iff f~0. Thus
.
We also defined the mapping cone for a map
.
Proposition/Exercise For a map of complexes in A, the following are equivalent:
- f~0
- f factors through the canonical map
- f factors through the canonical map
- the sequence
splits
Corollary If and f~g, then
for each i. Hence, we get well-defined cohomology functors,
where
.
proof If f~0, then f factors through which is acyclic!
Corollary Every homotopy equivalence (i.e. isomorphism in K(A)) is a quasi-isomorphism.
Note that K(A) (nor the derived category D(A), as we will see) is an abelian category! It is a triangulated category.
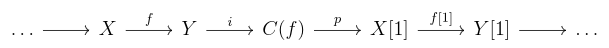
Lemma Given a map of complexes in A, we get the sequence

The composite of any two consecutive maps is zero in K(A).
proof The composite of is zero on the nose. For
, then

So factors through
, so
. Similar for
.
Definition A triangle in an additive category with a shift funcor [1] is a sequence , such that is the long sequence, any two consecutive maps compose to zero.
So is a triangle in K(A).
A morphism of triangles is a commutative diagram:

In K(A), a standard triangle is one of the form . An exact triangle in K(A) is one that is isomorphic to a standard triangle.
Proposition Exact triangles satisfy:
- for any map
there is an exact triangle
and
is an exact triangle
- If
is an exact triangle, so are its rotations
and
- Direct sum of exact triangles is exact
- Given two exact triangles
, and
, and morphisms
and
such that the square commutes, then there exists a map
making this collection of maps a map of triangles

What’s D(A)? I forget.
LikeLike
Its the derived category. It hasn’t come up yet in these notes, so I’ve edited it to reflect that. Thanks.
LikeLike